我学过,不过忘了,是概率论与数理统计里面的,有公式,你百度一下应该有。
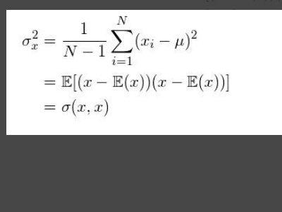
1、样本方差的无偏估计可由下式获得。

2、方差只能用于解释平行于特征空间轴方向的数据传播。

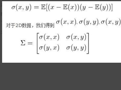
3、对于这个数据,可以计算出在x方向上的方差和y方向上的方差。然而,数据的水平传播和垂直传播不能解释明显的对角线关系。这种相关性可以通过扩展方差概念到所谓的数据“协方差”捕捉到。

4、如果数据的协方差矩阵是对角矩阵,使得协方差是零,那么这意味着方差必须等于特征值λ。如图所示,特征向量用绿色和品红色表示,特征值显然等于协方差矩阵的方差分量。

5、然而,如果协方差矩阵不是对角的,使得协方差不为零,那么情况稍微更复杂一些。特征值仍代表数据最大传播方向的方差大小,协方差矩阵的方差分量仍然表示x轴和y轴方向上的方差大小。但是,因为数据不是轴对齐的。
